천재소년 송유근(17)이 표절 시비로 논란이 되고 있는 가운데 지도교수 박석재 박사는 자신이 운영하는 블로그를 통해 "모든 책임은 나에게 있다"며 "유근이는 제 지도를 받아 공부한 죄밖에 없다. 돌을 던지려면 나에게 던지길 바란다"고 밝혔다. 앞서 박 박사는 "우리가 남의 논문을 베낀 것도 아닌데 왜 표절이라는 무서운 단어를 써서 매도를 하는지 이해가 안간다"는 입장을 보인 바 있다.
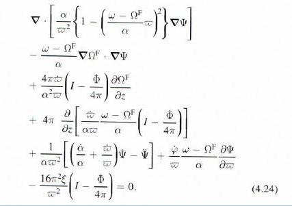
박 박사는 이번 송유근 표절 의혹에 대해 논문의 진행 과정에서 상당 부분 같은 내용이 전제된다 하더라도 마지막 결론 부분에서 다른 내용이 나온 만큼 전혀 문제가 되는 논문과는 전혀 다른 성격의 논문이라고 주장했다. 특히 송유근의 편미분 방정식에 대해서는 "2015년 유근이가 구한 식(4.24)를 보시면 모든 항이 완전하게 편미분으로 변환돼 있다. 수치해석적으로 계산하기 직전 단계까지 간 것"이라며 "이것은 누가 봐도 SCI 감이 된다"고 주장했다. 그러면서 그는 "이 식이 다른 논문에 똑같은 것이 있다면 천문연구원을 떠나겠다"고까지 밝혔다.
![]() |
| ▲송유근의 지도교수 박석재 박사가 "SCI 감"이라고 주장하는 송군의 편미분 방정식. ⓒ박석재 박사의 블로그 |
한편, 온라인 유명 커뮤니티에는 송 군이 '천체물리학저널(Astrophysical Journal, 10월 5일)'에 발표한 논문이 박 박사의 2002년 학술대회 발표자료를 표절한 것이라는 주장과 함께 두 문건을 비교한 사진 등이 퍼졌고, 곧 이어 표절 시비에 휘말렸다.
이 같이 표절 논란이 불거지자 당초 논문 게재를 약속했던 Astrophysical journal은 표절이 사실이라며 논문 게재를 철회하기도 했다.
이에 박 박사측은 Astrophysical journal측의 논문 철회 조치에 "2002년 국내 워크숍 발표문이 참고문헌에 누락됐다는 것"이라며 "이번에 너무 문제가 커졌고 워크숍 발표문을 바라보는 시각이 변해서 그런 결정이 내려진 것으로 보인다"고 평가했다.
그러나 송유근은 이번 논문 표절 논란과 무관하게 조만간 두 편의 논문을 추가로 발표할 예정이라고 지도교수는 밝혔다. 박 박사는 이번 송유근 표절 논란과 관련해 공식 기자회견을 갖기로 했다.










